Kerr Metrik, Boyer Lindquist Koordinaten (G=c=1)
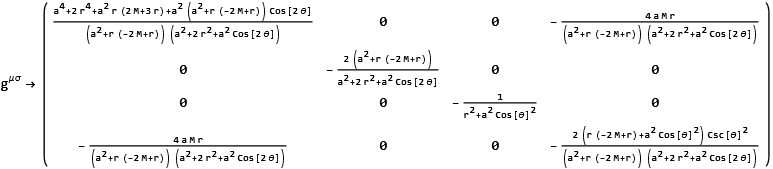
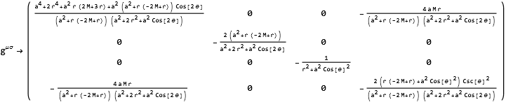
gᵤᵧ
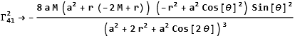
Γᵒᵤᵧ
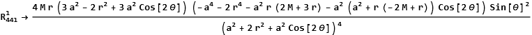
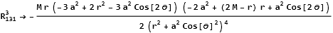
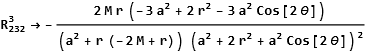
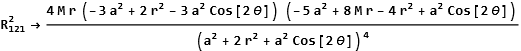
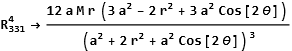
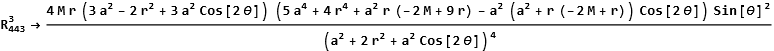
Řᵤᵧ
K
ẍᵘ
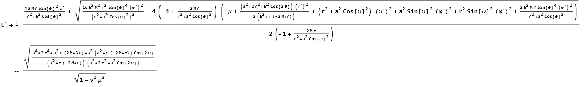
ṫ
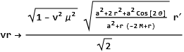
pᵤ
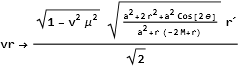
v
ω
r±
⊞
Input 1:
Output 1:

Input 2:
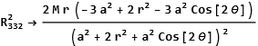
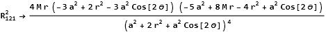
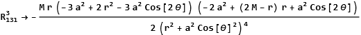
Input 3:
Output 3:
Input 4:
Output 4:
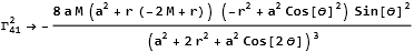
Input 5:
Output 5:
Input 6:
Output 6:
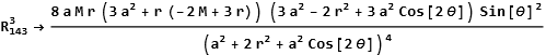
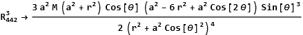
Input 7:
Output 7:
Input 8:
Output 8:
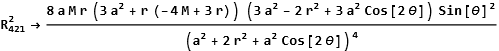
Input 9:
Output 9:
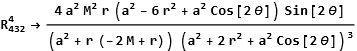
Input 10:
Output 10:
Input 11:
Output 11:
Input 12:
Output 12:
Input 13:
Output 13:
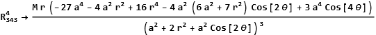
Input 14:
Output 14:
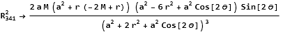
Input 15:
Output 15:
Input 16:
Output 16:
Modus:

Input A:
Output A:
Input B:
Output B:
{r,θ,φ} → {x,y,z}:
Mehr: