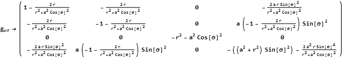
gᵤᵧ Γᵒᵤᵧ Řᵤᵧ K ẍᵘ ṫ pᵤ v r± ⊞
![]() |
![]() |
Referenz [arxiv.org/abs/0706.0622]
eingehende {u,r,θ,φ} Koordinaten
G=M=c=1 → G=c=1, M≠1
.nb File
