Kerr Metrik, originale {u,r,θ,φ} Nullkoordinaten (G=c=1)
gᵤᵧ
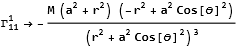
Γᵒᵤᵧ
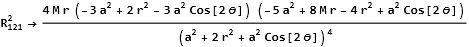
Řᵤᵧ
K
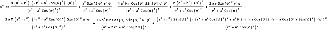
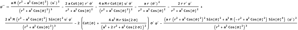
ẍᵘ
pᵤ
r±
⊞
Input 1:
Output 1:

Input 2:
Input 3:
Output 3:
Input 4:
Output 4:
Input 5:
Output 5:
Input 6:
Output 6:
Input 7:
Output 7:
Input 8:
Output 8:
Input 9:
Output 9:
Input 10:
Output 10:
Input 11:
Output 11:
Input 12:
Output 12:
Input 13:
Output 13:
Modus:

Input A:
Output A:
Input B:
Output B:
Mehr:
.nb File
Referenz [arxiv.org/abs/0706.0622]
eingehende {t,r,θ,φ} Koordinaten
G=c=1 → G=M=c=1