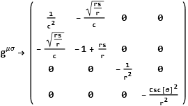
Schwarzschild Metrik, sphärische Raindrop/Gullstrand–Painlevé Koordinaten (G=M=c=1)
gᵤᵧ
Γᵒᵤᵧ
Řᵤᵧ
K
ẍᵘ
ṫ
pᵤ
v
⊞
Input 1:
Output 1:

Input 2:
Output 2:
Input 3:
Output 3:
Γ111 → |
![if image doesn't load refresh with [F5] or force refresh with [ctrl]/[strg]+[F5]](b/gullstrand.painleve.metric.schwarzschild.raindrop_11.png)
|
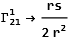
Γ121 →
|
![if image doesn't load refresh with [F5] or force refresh with [ctrl]/[strg]+[F5]](b/gullstrand.painleve.metric.schwarzschild.raindrop_12.png)
|
Γ122 →
|
![if image doesn't load refresh with [F5] or force refresh with [ctrl]/[strg]+[F5]](b/gullstrand.painleve.metric.schwarzschild.raindrop_13.png)
|
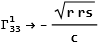
Γ133 →
|
![if image doesn't load refresh with [F5] or force refresh with [ctrl]/[strg]+[F5]](b/gullstrand.painleve.metric.schwarzschild.raindrop_14.png)
|
Γ144 →
|
![if image doesn't load refresh with [F5] or force refresh with [ctrl]/[strg]+[F5]](b/gullstrand.painleve.metric.schwarzschild.raindrop_15.png)
|
Γ211 →
|
![if image doesn't load refresh with [F5] or force refresh with [ctrl]/[strg]+[F5]](b/gullstrand.painleve.metric.schwarzschild.raindrop_16.png)
|
Γ221 →
|
![if image doesn't load refresh with [F5] or force refresh with [ctrl]/[strg]+[F5]](b/gullstrand.painleve.metric.schwarzschild.raindrop_17.png)
|
Γ222 →
|
![if image doesn't load refresh with [F5] or force refresh with [ctrl]/[strg]+[F5]](b/gullstrand.painleve.metric.schwarzschild.raindrop_18.png)
|
Γ233 →
|
2-r |
Γ244 →
|
![if image doesn't load refresh with [F5] or force refresh with [ctrl]/[strg]+[F5]](b/gullstrand.painleve.metric.schwarzschild.raindrop_19.png)
|
Γ332 →
|
![if image doesn't load refresh with [F5] or force refresh with [ctrl]/[strg]+[F5]](b/gullstrand.painleve.metric.schwarzschild.raindrop_20.png)
|
Γ344 →
|
-Cos[θ] Sin[θ] |
Γ442 →
|
![if image doesn't load refresh with [F5] or force refresh with [ctrl]/[strg]+[F5]](b/gullstrand.painleve.metric.schwarzschild.raindrop_21.png)
|
Γ443 → |
Cot[θ] |
Input 4:
Output 4:
R1121 →
|
![if image doesn't load refresh with [F5] or force refresh with [ctrl]/[strg]+[F5]](b/gullstrand.painleve.metric.schwarzschild.raindrop_24.png)
|
R1221 →
|
![if image doesn't load refresh with [F5] or force refresh with [ctrl]/[strg]+[F5]](b/gullstrand.painleve.metric.schwarzschild.raindrop_25.png)
|
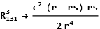
R1331 →
|
![if image doesn't load refresh with [F5] or force refresh with [ctrl]/[strg]+[F5]](b/gullstrand.painleve.metric.schwarzschild.raindrop_26.png)
|
R1441 →
|
![if image doesn't load refresh with [F5] or force refresh with [ctrl]/[strg]+[F5]](b/gullstrand.painleve.metric.schwarzschild.raindrop_27.png)
|
R2121 →
|
![if image doesn't load refresh with [F5] or force refresh with [ctrl]/[strg]+[F5]](b/gullstrand.painleve.metric.schwarzschild.raindrop_28.png)
|
R2221 →
|
![if image doesn't load refresh with [F5] or force refresh with [ctrl]/[strg]+[F5]](b/gullstrand.painleve.metric.schwarzschild.raindrop_29.png)
|
R2332 →
|
![if image doesn't load refresh with [F5] or force refresh with [ctrl]/[strg]+[F5]](b/gullstrand.painleve.metric.schwarzschild.raindrop_30.png)
|
R2442 →
|
![if image doesn't load refresh with [F5] or force refresh with [ctrl]/[strg]+[F5]](b/gullstrand.painleve.metric.schwarzschild.raindrop_31.png)
|
R3131 →
|
![if image doesn't load refresh with [F5] or force refresh with [ctrl]/[strg]+[F5]](b/gullstrand.painleve.metric.schwarzschild.raindrop_32.png)
|
R3132 →
|
![if image doesn't load refresh with [F5] or force refresh with [ctrl]/[strg]+[F5]](b/gullstrand.painleve.metric.schwarzschild.raindrop_33.png)
|
R3231 →
|
![if image doesn't load refresh with [F5] or force refresh with [ctrl]/[strg]+[F5]](b/gullstrand.painleve.metric.schwarzschild.raindrop_34.png)
|
R3232 →
|
![if image doesn't load refresh with [F5] or force refresh with [ctrl]/[strg]+[F5]](b/gullstrand.painleve.metric.schwarzschild.raindrop_35.png)
|
R3443 →
|
![if image doesn't load refresh with [F5] or force refresh with [ctrl]/[strg]+[F5]](b/gullstrand.painleve.metric.schwarzschild.raindrop_36.png)
|
R4141 →
|
![if image doesn't load refresh with [F5] or force refresh with [ctrl]/[strg]+[F5]](b/gullstrand.painleve.metric.schwarzschild.raindrop_37.png)
|
R4142 →
|
![if image doesn't load refresh with [F5] or force refresh with [ctrl]/[strg]+[F5]](b/gullstrand.painleve.metric.schwarzschild.raindrop_38.png)
|
R4241 →
|
![if image doesn't load refresh with [F5] or force refresh with [ctrl]/[strg]+[F5]](b/gullstrand.painleve.metric.schwarzschild.raindrop_39.png)
|
R4242 →
|
![if image doesn't load refresh with [F5] or force refresh with [ctrl]/[strg]+[F5]](b/gullstrand.painleve.metric.schwarzschild.raindrop_40.png)
|
R4343 → |
![if image doesn't load refresh with [F5] or force refresh with [ctrl]/[strg]+[F5]](b/gullstrand.painleve.metric.schwarzschild.raindrop_41.png)
|
Input 5:
Output 5:
Input 6:
Output 6:
Input 7:
Output 7:
Input 8:
Output 8:
Input 9:
Output 9:
Input 10:
Output 10:
Input 11:
Output 11:
Input 12:
Output 12:
Input 13:
Output 13:
Modus:

Input A:
Output A:
Input B:
Output B:
Mehr:
![if image doesn't load refresh with [F5] or force refresh with [ctrl]/[strg]+[F5]](z/stdgr_1.png)