Schwarzschild Metrik, sphärische Droste Koordinaten (G=M=c=1)
gᵤᵧ
Γᵒᵤᵧ
Řᵤᵧ
K
ẍᵘ
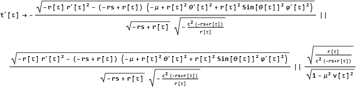
ṫ
pᵤ
v
Input 1:
Output 1:

Input 2:
Output 2:
Input 3:
Output 3:
Γ121 →
|
![if image doesn't load refresh with [F5] or force refresh with [ctrl]/[strg]+[F5]](a/geodesics.ssds.schwarzschild.droste_11.png)
|
Γ211 →
|
![if image doesn't load refresh with [F5] or force refresh with [ctrl]/[strg]+[F5]](a/geodesics.ssds.schwarzschild.droste_12.png)
|
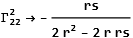
Γ222 →
|
![if image doesn't load refresh with [F5] or force refresh with [ctrl]/[strg]+[F5]](a/geodesics.ssds.schwarzschild.droste_13.png)
|
Γ233 →
|
2-r |
Γ244 →
|
![if image doesn't load refresh with [F5] or force refresh with [ctrl]/[strg]+[F5]](a/geodesics.ssds.schwarzschild.droste_14.png)
|
Γ332 →
|
![if image doesn't load refresh with [F5] or force refresh with [ctrl]/[strg]+[F5]](a/geodesics.ssds.schwarzschild.droste_15.png)
|
Γ344 →
|
-Cos[θ] Sin[θ] |
Γ442 →
|
![if image doesn't load refresh with [F5] or force refresh with [ctrl]/[strg]+[F5]](a/geodesics.ssds.schwarzschild.droste_16.png)
|
Γ443 → |
Cot[θ] |
Input 4:
Output 4:
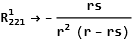
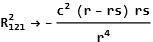
R1221 →
|
![if image doesn't load refresh with [F5] or force refresh with [ctrl]/[strg]+[F5]](a/geodesics.ssds.schwarzschild.droste_19.png)
|
R1331 →
|
![if image doesn't load refresh with [F5] or force refresh with [ctrl]/[strg]+[F5]](a/geodesics.ssds.schwarzschild.droste_20.png)
|
R1441 →
|
![if image doesn't load refresh with [F5] or force refresh with [ctrl]/[strg]+[F5]](a/geodesics.ssds.schwarzschild.droste_21.png)
|
R2121 →
|
![if image doesn't load refresh with [F5] or force refresh with [ctrl]/[strg]+[F5]](a/geodesics.ssds.schwarzschild.droste_22.png)
|
R2332 →
|
![if image doesn't load refresh with [F5] or force refresh with [ctrl]/[strg]+[F5]](a/geodesics.ssds.schwarzschild.droste_23.png)
|
R2442 →
|
![if image doesn't load refresh with [F5] or force refresh with [ctrl]/[strg]+[F5]](a/geodesics.ssds.schwarzschild.droste_24.png)
|
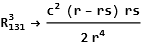
R3131 →
|
![if image doesn't load refresh with [F5] or force refresh with [ctrl]/[strg]+[F5]](a/geodesics.ssds.schwarzschild.droste_25.png)
|
R3232 →
|
![if image doesn't load refresh with [F5] or force refresh with [ctrl]/[strg]+[F5]](a/geodesics.ssds.schwarzschild.droste_26.png)
|
R3443 →
|
![if image doesn't load refresh with [F5] or force refresh with [ctrl]/[strg]+[F5]](a/geodesics.ssds.schwarzschild.droste_27.png)
|
R4141 →
|
![if image doesn't load refresh with [F5] or force refresh with [ctrl]/[strg]+[F5]](a/geodesics.ssds.schwarzschild.droste_28.png)
|
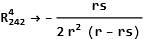
R4242 →
|
![if image doesn't load refresh with [F5] or force refresh with [ctrl]/[strg]+[F5]](a/geodesics.ssds.schwarzschild.droste_29.png)
|
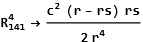
R4343 → |
![if image doesn't load refresh with [F5] or force refresh with [ctrl]/[strg]+[F5]](a/geodesics.ssds.schwarzschild.droste_30.png)
|
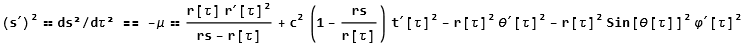
Input 5:
Output 5:
Input 6:
Output 6:
Input 7:
Output 7:
Input 8:
Output 8:
Input 9:
Output 9:
Input 10:
Output 10:
Input 11:
Output 11:
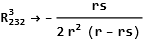
Modus:

Mehr:
![if image doesn't load refresh with [F5] or force refresh with [ctrl]/[strg]+[F5]](z/stdgr_1.png)